匠人匠心 至诚至精

为客户提供满意的仪器仪表产品

全国咨询电话:

+86 150-7907-3353

关于明升88

当前位置:首页 > 关于诚睿

气体涡街流量计

涡街流量计也被称之为旋涡流量计或卡门涡街流量计。综合吸收了发达国家先进技术和总结多年研究生产经验的基础上进行精心设计的产品,实现了产品智能化,标准化、系列化、通用化、生产模具化等、确保了产品质量的美观性。而气体涡街流量计原理基于热扩散原理设计,采用恒温差法对气体进行准确测量,利用流体流动时流体与固体间的热交换,通过测量热量的传递,转移和平衡的关系来求得流体流量的数值。

立即咨询:15079073353
产品介绍

涡街流量计也被称之为旋涡流量计或卡门涡街流量计。综合吸收了发达国家先进技术和总结多年研究生产经验的基础上进行精心设计的产品,实现了产品智能化,标准化、系列化、通用化、生产模具化等、确保了产品质量的美观性。而气体涡街流量计原理基于热扩散原理设计,采用恒温差法对气体进行准确测量,利用流体流动时流体与固体间的热交换,通过测量热量的传递,转移和平衡的关系来求得流体流量的数值。下面重点阐述产品的详细介绍。

气体涡街流量计的测量:

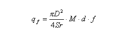
在流体测量中安放非流线型旋涡发生体,流体在旋涡发生体两侧交替分离释放出两列规则的交替排列的旋涡涡街。在一定的流量范围内,旋涡的分离频率与流经涡街流量传感器处流体的体积流量成正比关系。气体涡街流量计的理论流量方程为:


式中,qf为工况下的体积流量,m3/s;D为表体通径,mm;M为旋涡发生体两侧弓形面积与管道横截面积之比;d为旋涡发生体迎流面宽度,mm;f为旋涡的发生频率,Hz;Sr为斯特劳哈尔数无量纲。以上就是测量的计算公式。

气体涡街流量计的选型:

在口径选型中或在设计选型中由于工艺条件的变动,会使用选择偏大的一个规格。实际操作中的选型应选尽量小的口径,这样能提高测量的精度。如:一路涡街管线设计上是供几个气动设备使用的,但由于工艺的原因部分设备有时候不使用,致使目前实际压缩的空气流量减小。

在实际使用时设计选型的口径过大,这等于提高了可测的流量下限,流量大时还可以使用,而工艺管道小流量时指示精度无法保证。若要改造重排有时难度很大,工艺条件的变动只是临时的,可结合参数的重新整定以提高指示准确度。因此在气体涡街流量计的选型时,一定要注意其口径的大小。

气体涡街流量计的测量介质分类:

1、测量气体时,需要温度压力同时补偿;气体一般都以标准状况体积流量结算。因为气体的体积流量温度或压力变化时,流量都会发生改变。

2、测量过热蒸汽时,需要温度压力同时补偿;蒸汽一般都以质量流量结算。因为温度或压力有任何一个发生变化,蒸汽的密度会发生改变,质量流量也随之改变。

3、测量饱和蒸汽时,需要单温度补偿或单压力补偿。饱和蒸汽的密度与温度或压力有一个固定的对应关系,知道其中的任何一个,都可以确定饱和蒸汽的密度。

气体涡街流量计的安装环境要求:

1、仪表安装最好在室内,安装在室外应注意防水,特别注意在电气接口处应将电缆线弯成U形,避免水顺着电缆线进入放大器壳内。

2、仪表安装点周围应该留有较充裕的空间,以便安装接线和定期检测和维护。

3、仪表安装尽可能避开强电设备、高频设备,强开关电源设备等。仪表的供电电源尽可能与这些设备分离,避免辐射影响测量数值。

2、仪表安装尽可能避开高温热源和辐射源的直接影响。若必须安装,须有隔热通风措施。

3、仪表安装要避开高湿环境和强腐蚀气体环境。若必须安装,须有通风保护措施。

4、仪表安装应尽量避免安装在振动较强的管道上。若必须安装,须在其上下游2D处加设管道紧固装置,并加防振垫加强抗振效果。

总结:气体涡街流量计是通过流量计内的漩涡发生体时,在其下游产生两列不对称的漩涡即卡门涡街。通过测量漩涡的频率,以推算出流体的流量。这种流量计的结构简单,安装和维护都相对方便,适用于工业管道介质流体的流量测量,如气体、液体、蒸汽等多种介质。由于其测量范围广,精度高、可靠性高等特点,被广泛应用于化工、石油、冶金、电力等众多行业。以上就是气体涡街流量计的详情介绍,更多产品详情内容请关注“质量流量控制器”栏目。